Project description

This project investigates how a diverse population of stellar streams responds to a major galaxy merger event.


Motivation

Stellar streams—the remnants of disrupted globular clusters or dwarf galaxies—are recognized as tracers of galactic structure and evolution. These streams offer valuable insights into the gravitational potential and assembly history of galaxies.

While most previous studies have examined stream evolution in isolated halos, the effects of galaxy mergers on stream dynamics remain poorly understood.

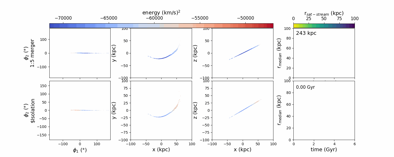
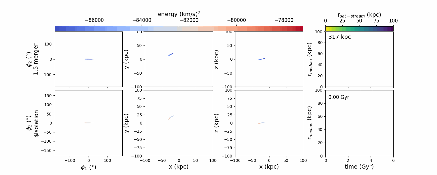
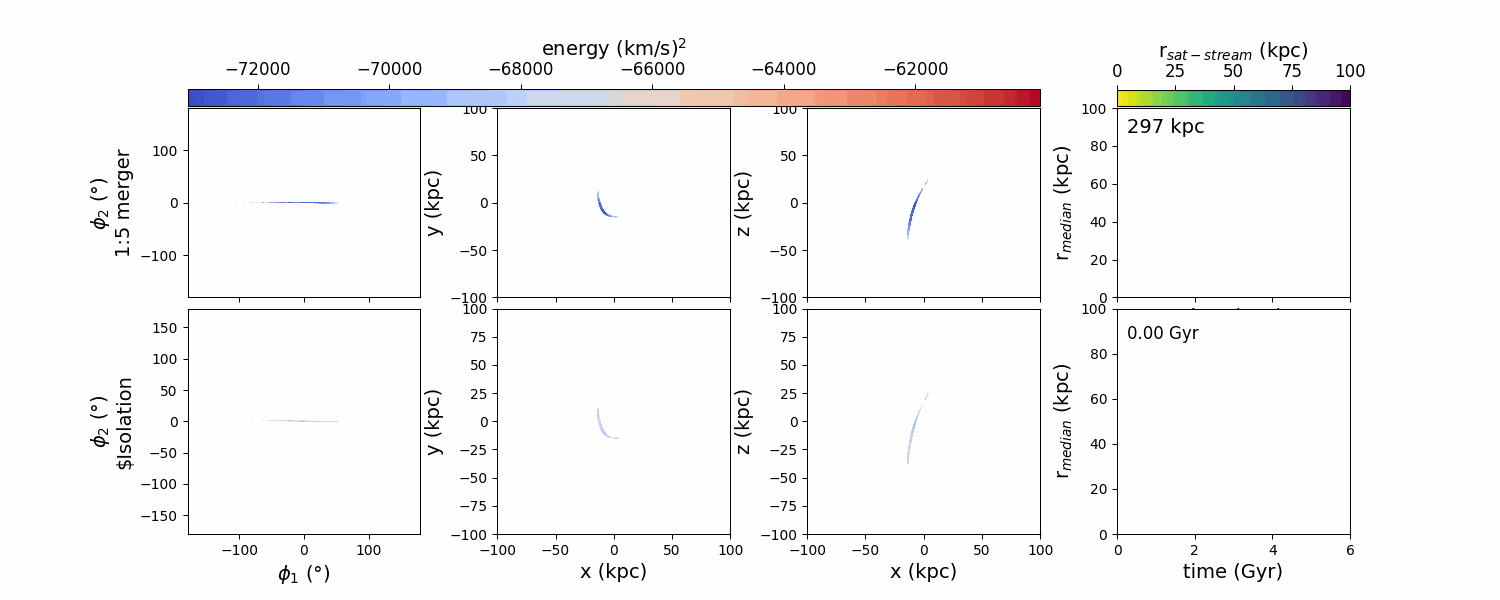
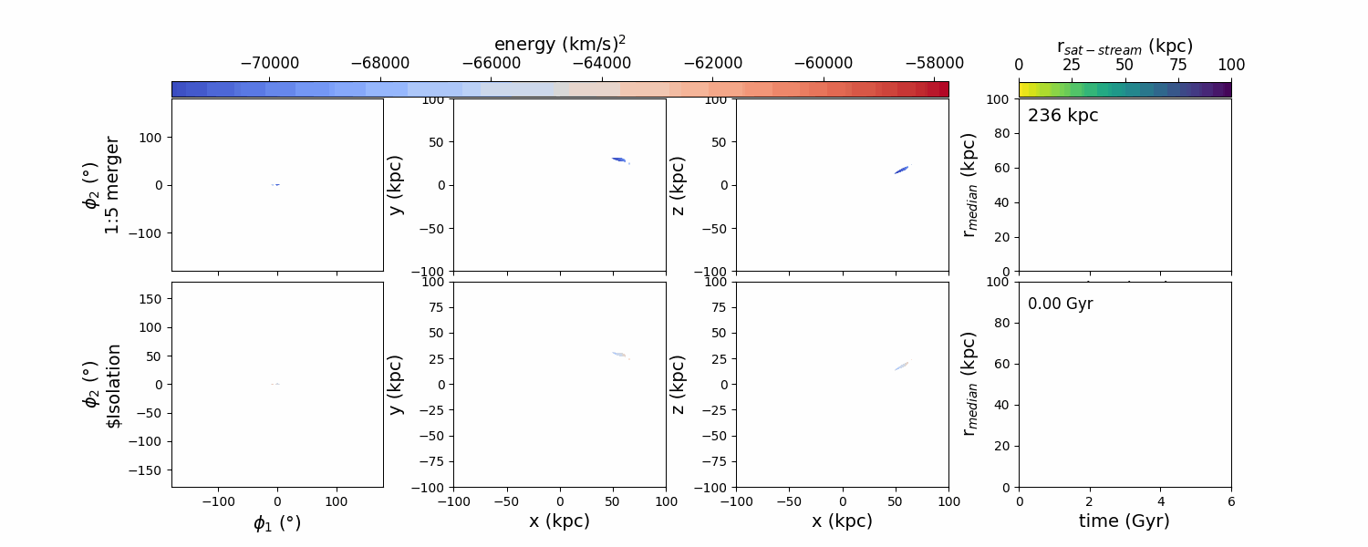
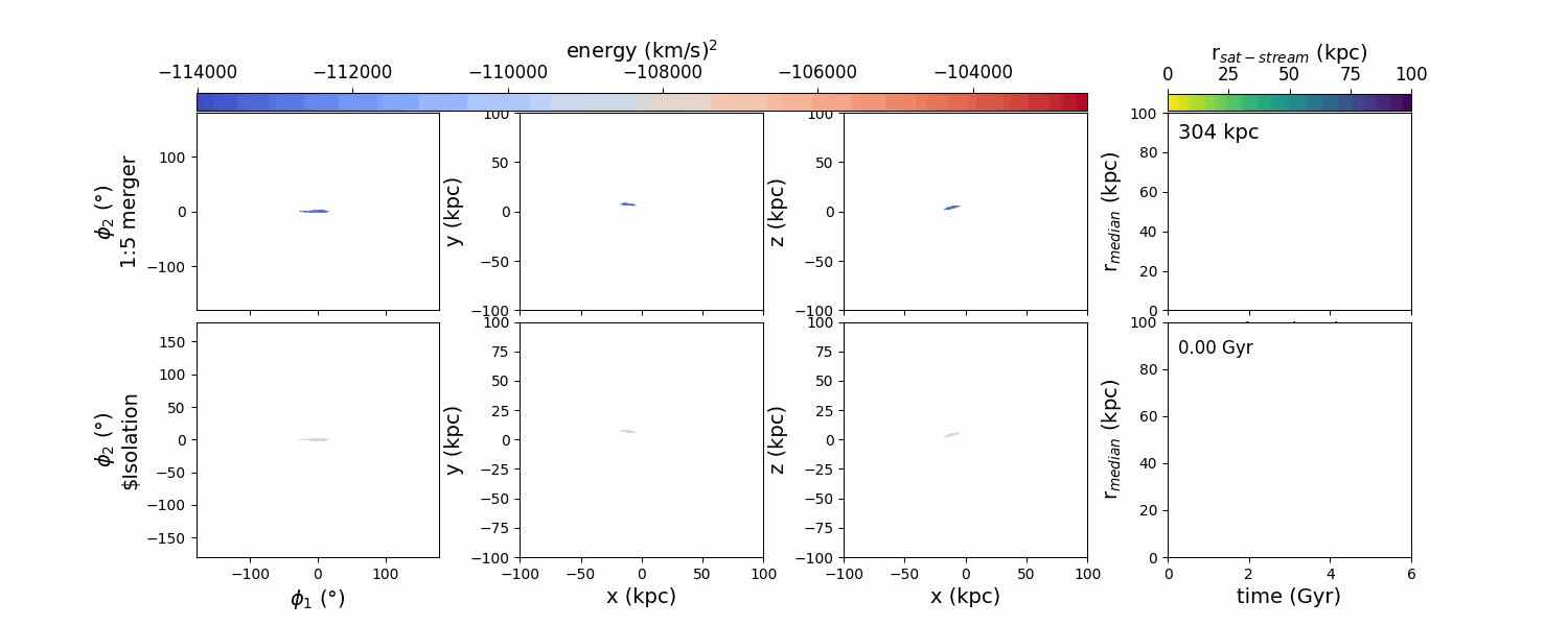
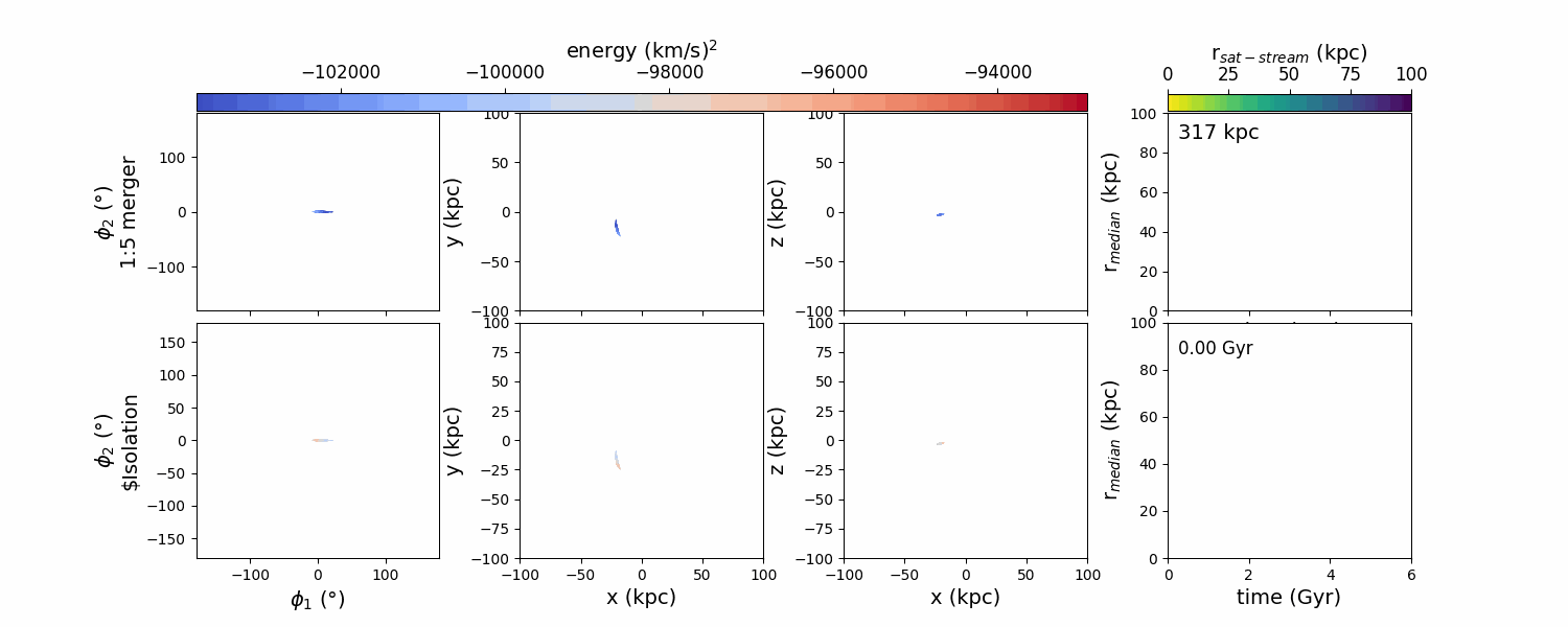
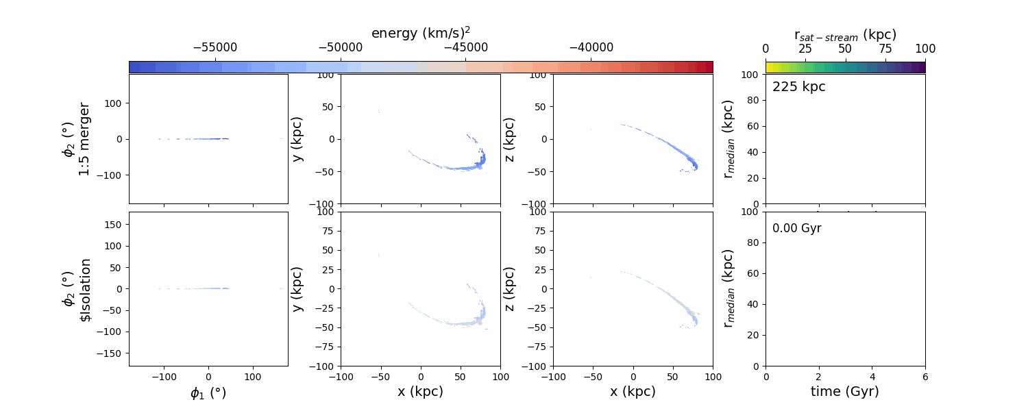
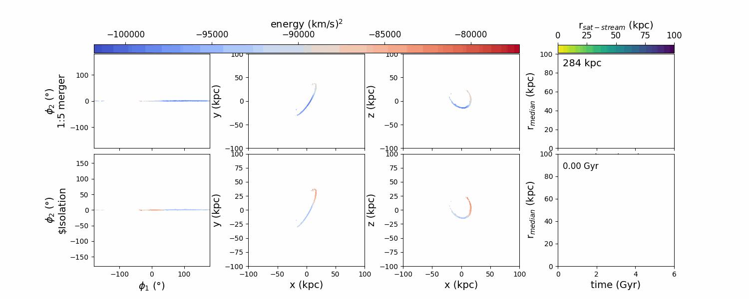
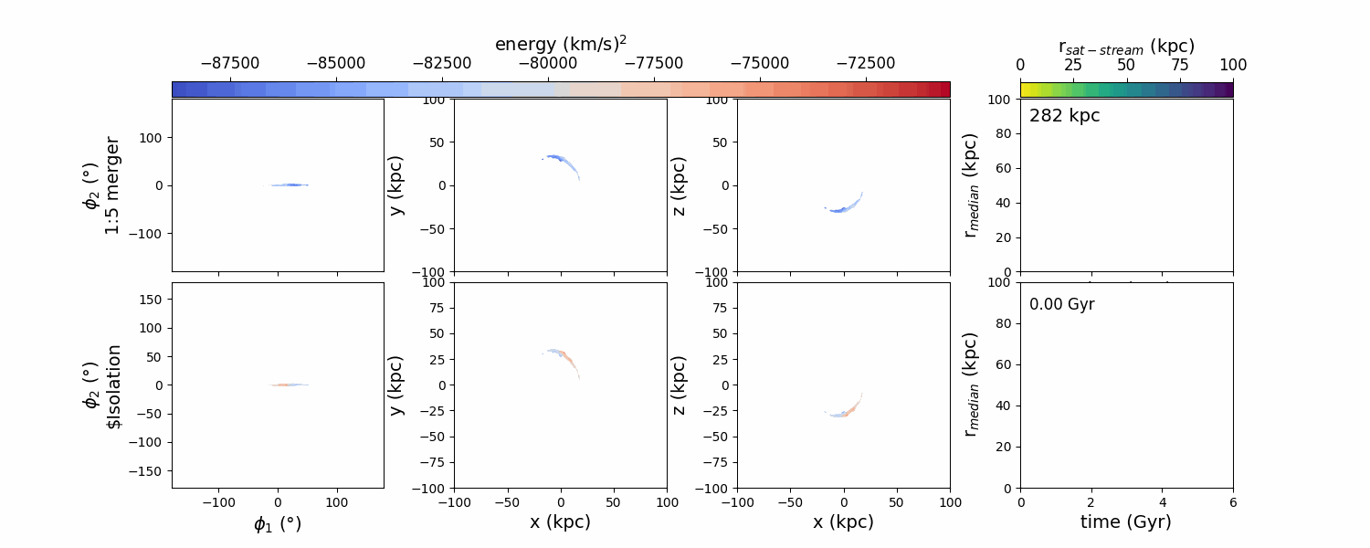
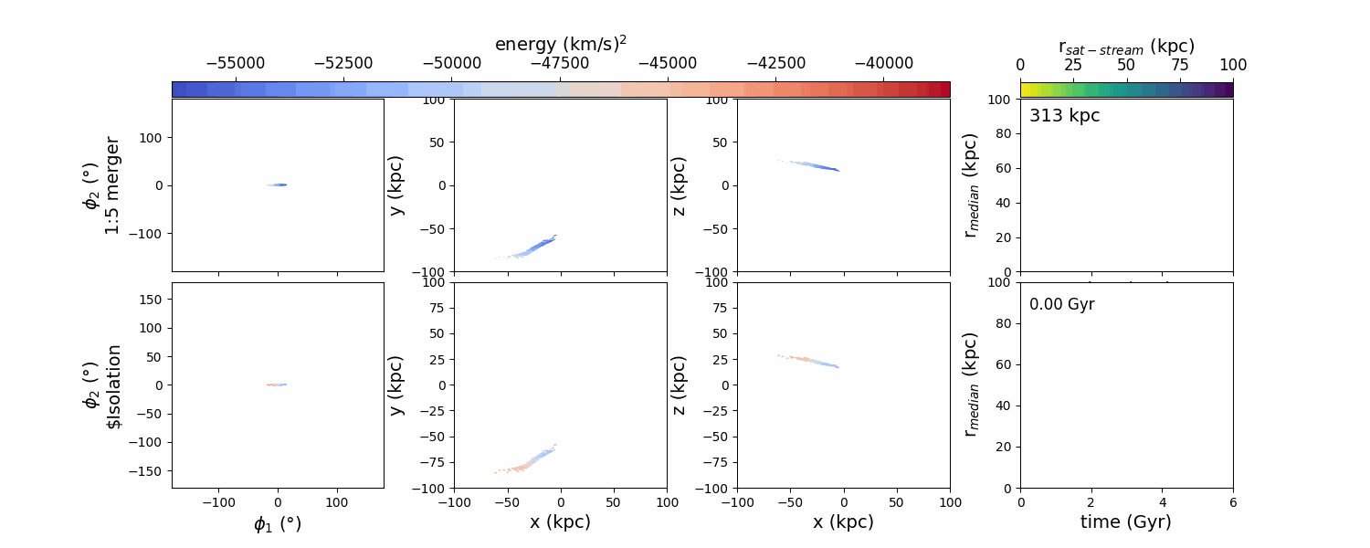
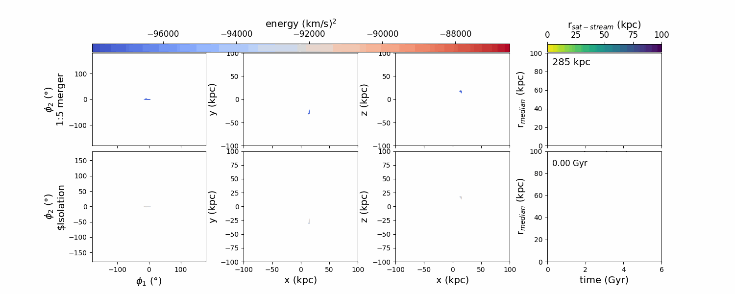
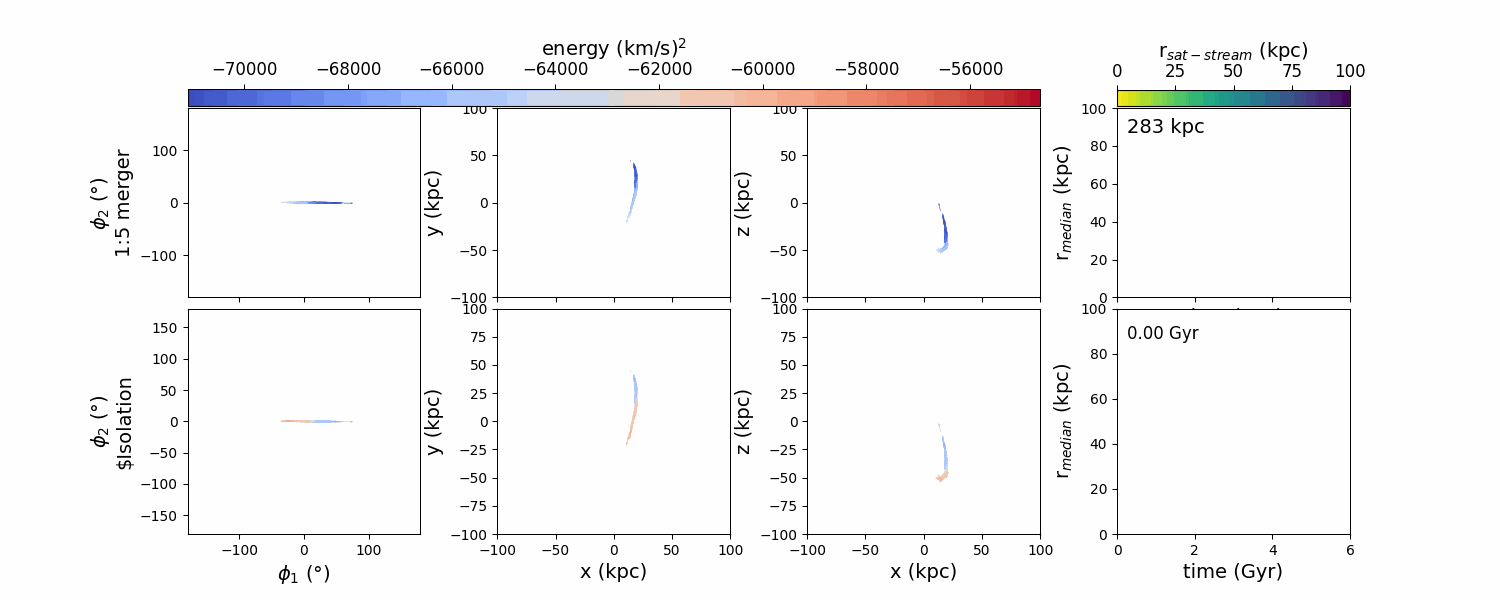
In this study, we explore how a population of stellar streams evolves in response to a major perturbation, such as a galaxy merger. We simulate a large and diverse set of streams with varying orbital properties and compare their evolution in:

  • Merging dark matter halos with a 1:5 merger ratio, long after the merger has completed
  • Isolated halos

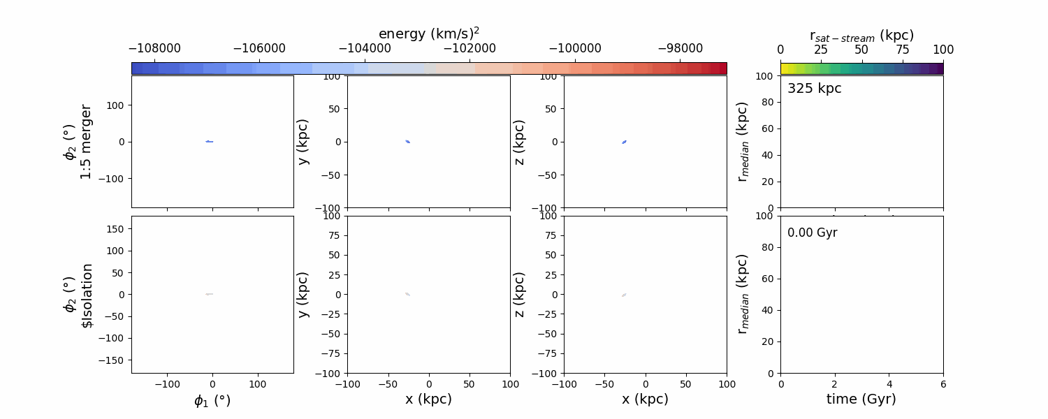
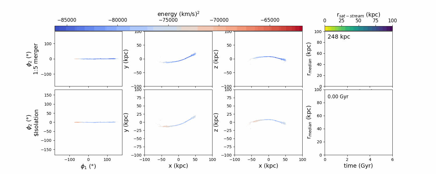
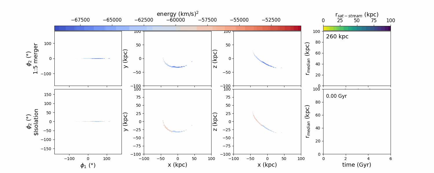
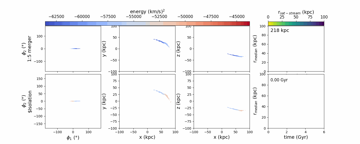
We present here the full sample of simulated streams used in our analysis. Low mass stellar streams (click for a 3D view, please allow few seconds to load) are numbered from 0-511, and high mass stellar streams (click for a 3D view, please allow few seconds to load) are numbered from 512-1023. Follow links to the same low mass and high mass stellar streams that evolved in isolation for comparison.



Few selected streams
Positions for star particles from 27 of our full set of stellar streams evolved for 6 giga years in a MW-like halo, in isolation (left) and during our 1:5 fiducial merger (right). The potential of the halos is shown in grey contours, and streams are color-coded by their stream ID. Click on the links of each stream to view a movie clip of their evolution in Cartesian and great circle coordinate frames.

Contact

sachiwee[at] gmail.com